(觀傳媒新北新聞)【記者蔡宇辰/新北報導】極端氣候影響下,全球各地天災不斷,民眾的健康也深受威脅,臺北醫學大學研究研究發現,極端高溫或低溫都會增加慢性阻塞性肺病(COPD)患者1.16倍的發病與死亡風險,在極端高溫環境下,女性患者更是高風險群。
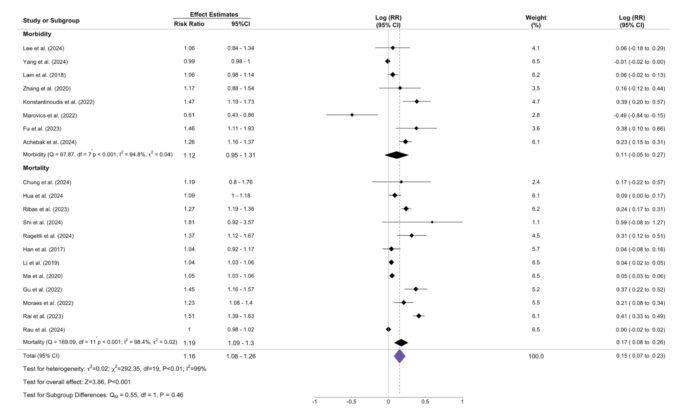
北醫大胸腔醫學研究中心莊校奇副主任率領研究團隊蒐集全球2000年至2024年間25項相關觀察性研究逾3千筆資料,針對極端溫度環境對COPD患者造成的影響,結果發現,在極端高溫環境下,患者發病與死亡的風險會增加1.16倍,女性族群的風險又高於男性族群0.14倍;而極端低溫對健康威脅更大,COPD患者發病風險會提高1.47倍,死亡風險提高約1.32倍,這篇研究已發表於《Science of The Total Environment》。
北醫大研究指出,極端高溫環境會增加患者的死亡風險,而極端低溫對患者的發病風險及死亡率都有顯著提升,60歲以上的患者面對極端溫度變化更容易發病甚至致死,而以區域來看,亞洲族群更容易容到極端氣候影響,發病及死亡風險會增加1.35倍,不過單以極端低溫來分析,歐洲族群發病及死亡風險也偏高達1.4倍。
莊校奇表示,COPD為全球主要死因之一,也是國人十大死因之一,與長期吸菸或空氣污染等因素相關,尤其氣候劇烈變遷情形日益頻繁,醫療與公共衛生體系應針對不同地區及族群發展更精準的防護措施,協助維護民眾的健康,例如,政府相關單位在熱浪或寒流來襲前,及早發布健康警示,加強患者用藥與關,同時也提供適當的社區支持及醫療準備,可降低民眾非必要的發病與死亡風險。
莊校奇強調,極熱或極冷的環境容易導致好發心肺疾病,因為氣候與溫度、濕度等變化相關,另外加上空氣污、經濟發展等因素,皆與患者發病與死亡的風險相關,而民眾面臨氣候劇烈變化的情形,也要提高警覺,勿掉以輕心,無論夏季或冬季,外出戴口罩可避免曝露於PM2.5,年長者在冬季時也應留意早晚溫差大等情形,做好防護措施。


